正弦交流电路
线性动态电路的正弦稳态分析¶
线性就是线性元件,动态电路就是有动态元件(电感、电容),正弦意思就是源是正弦交流
基础定义¶
交流电流的意思是电流有周期性,且一个周期内积分为0
若交流电流的大小、方向随时间按正弦规律变化,则该交流电流(电压)称为正弦交流电流(电压)。
若一个电路中,各处的电流、电压均按正弦规律变化,则该电路称为正弦交流电路。
符号¶

相量是用来表示正弦量的复数。

在正弦交流中需要选参考方向和时间起点,对于所有部分的时间起点都得是同一个
参考正弦量意思是选的时间起点的初相角为0
f(t)=Asin(ωt+ψ),A,ω,ψ三要素
约定ψ在±pi之间
对于同频率正弦量,如果ψ1>ψ2称超前,ψ1=ψ2为同相,ψ1<ψ2为滞后,|ψ1-ψ2|=pi/2为正交,|ψ1-ψ2|=pi为反相
最大值是瞬时值的最大值,有效值是瞬时值的方均根值,即\(U=\sqrt{\dfrac {\int_0^Tu^2dt} T}\),用有效值可以表达一个周期内消耗的电能,\(\int_0^Ti^2Rdt=I^2RT\),对于正弦交流电路,有效值和最大值之间满足\(U=\frac {U_m} {\sqrt 2}\)
相量¶
相量是一个复数,用来辅助正弦交流电路的分析。相量和瞬时值存在一一对应关系
\(\dot I=I\angle \varphi A\iff i(t)=\sqrt 2 I\sin(\omega t+\varphi)A\)
其中ω通常是一个已知的固定值,φ取-pi到pi,在电路分析中,用角度制而不是弧度制。相量相当于把正弦量的初始位置拿来分析,之后在一个周期T内的变动相当于旋转这些相量,不在相量运算关注的范畴。相量在ω域,瞬时值在时域。用相量来分析正弦交流电路就避免了复杂的三角运算,从而可以用平面几何和复数运算的知识来求解。
补充一个一定要注意的点,当相量运算时出现负号的时候,不能把φ改成-φ,这是错的,而是应该回到它原本的定义,也就是三角表达式来看。-sinx=sin(x±π),所以你应该把φ改成φ+π或φ-π,总之保持在±π之间就行。
通常把一个正弦量从负到正经过零点的时候作为时间零点,则这个正弦量的初相角就是0,把这个正弦量称为参考正弦量,把这个正弦量对应的相量称为参考相量,显然这个相量最开始在x轴上

所以你在加两个i的时候可以把它们的相量求和再写出来这个新相量对应的i,这要用计算器求角度那些什么的,考试时必须带计算器。
到目前为止,相量并没有呈现比三角运算更大的优势,需要计算的内容是相同的。相量的好处在于对于KCL和KVL的描述可以用直观的相量加减来描述。
元件的相量特性¶
注意,感抗、容抗不含j,是U/I而不是\(\dfrac {\dot U} {\dot I}\),如果要用相量表达式还是要求出带j的阻抗才行
电感元件电压比电流超前90度,电容元件电流比电压超前90度。
实际电感可以看成电感和电阻的串联,实际电容可以看成电容和电阻的并联。

电感和电阻串联后,电压比电流超前一个锐角。电阻和电容并联后,电流超前电压一个锐角。
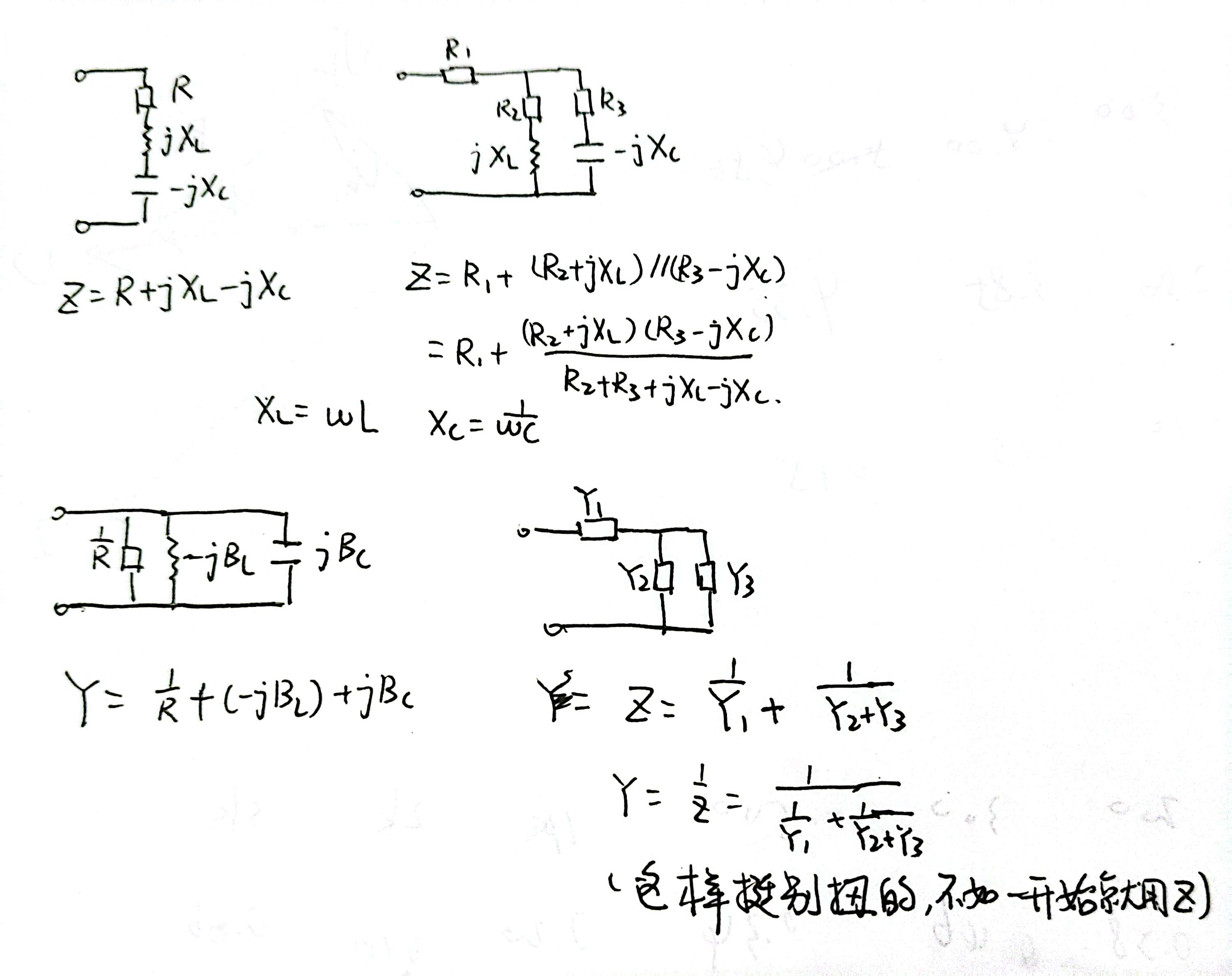
阻抗和导纳¶
这是对于无源一端口网络来说的,取关联参考方向时的\(\dfrac {\dot U} {\dot I}\)即为阻抗Z,也是一个复数,导纳是阻抗的倒数。
阻抗的运算规则和电阻的完全一样,导纳的运算规则和电纳完全一样

可以看到一旦涉及了串联,还是得先用阻抗算再变成导纳,所以还是以阻抗计算为主。需要用到导纳的也就多于两个并联时可以用导纳加一加。
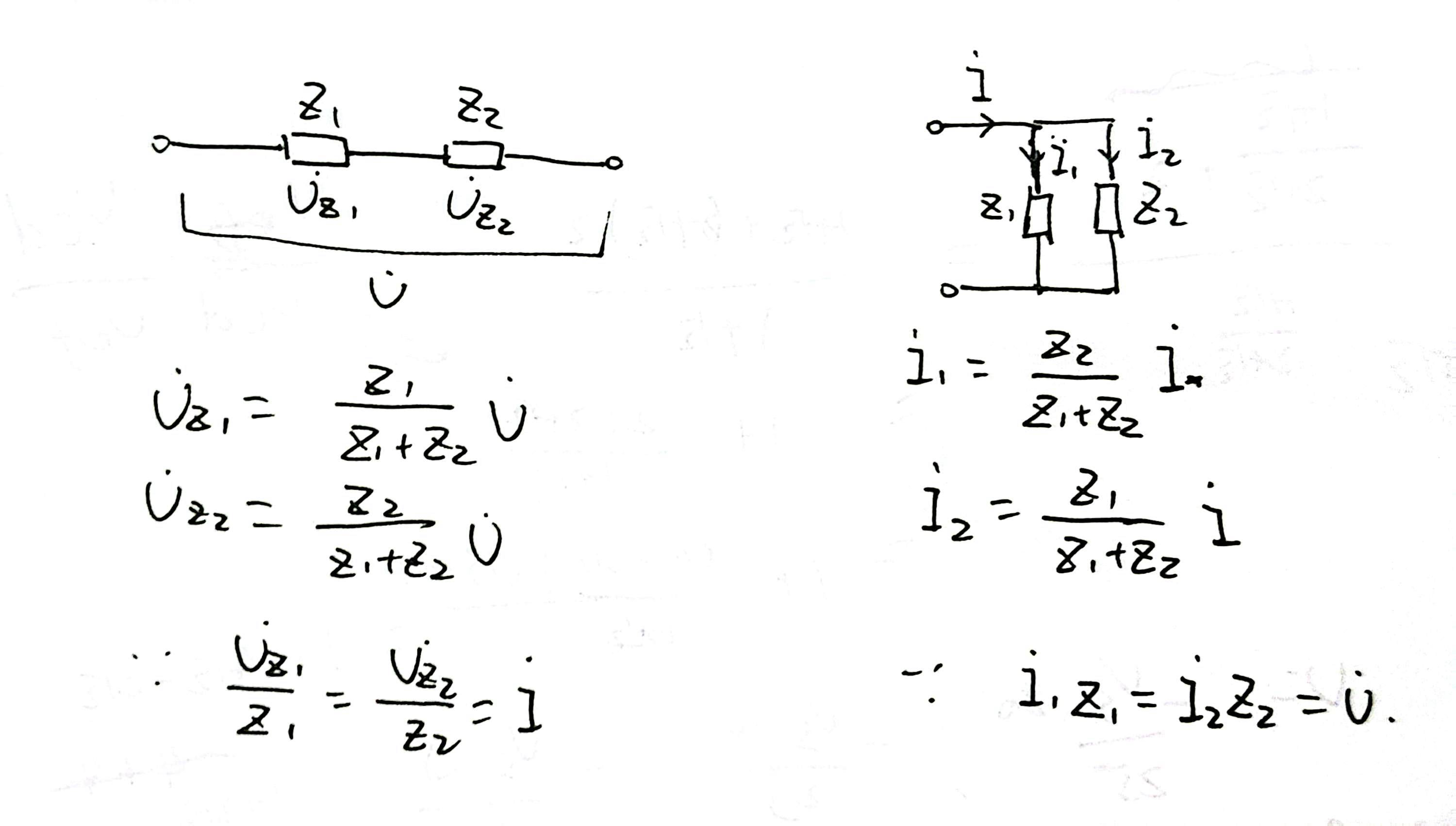
另外涉及到分流和分压的,阻抗和电阻的效果也是一样的

不难发现,阻抗由两部分构成,其中实部可以理解为这个无源一端口的“电阻”,而虚部可以理解为这个无源一端口的“电抗”,可能是正的(感性),可能是负的(容性)
于是无源一端口网络的最简等效模型也就是一个电阻和一个电感的串联,或一个电阻和一个电容的串联。
这里有一个很容易搞糊涂的地方,就是容抗它是一个正数而不是一个负数,因为容抗感抗这些是针对有效值定义的。但是如果你直接套到这里Z的表达式,就会误认为电容进去的话就是Z=jXC,这就出问题了,因为电容它阻抗是-jXc。所以我觉得,求阻抗这部分不要用R+jX去做,而是你就直接用元件的阻抗串并联规律去做,这样就绝对没问题,求有效值偶尔用用XL,XC,但是涉及到相量就还是老老实实用阻抗。
由于阻抗是复数,所以它也可以画三角形来表现阻抗求和的样子,我喜欢用这种方式来分析已知电压和电流和一些内部参数,然后需要求另一些内部参数的题目。不过如果出现并联,还是比较难用有向线段来表示这种关系,所以也不是万能的。

这相当于加流求压法了,一个KCL一个KVL完事
正弦交流电路的分析¶
正弦交流电路的分析大概分为两类问题,正问题和逆问题。
正问题:已知电流结构参数,求各支路电流、电压
逆问题就是要你设计电路,要实现某种输入输出,需要你设计达成这个变换的过程
正问题是比较简单的,就一个一个求下去就行。逆问题会困难一些。
为了分析正弦交流电路,需要先把直流部分的一些内容搬过来。
直流套用¶
KCL和KVL¶
正弦交流中,不存在ΣU=0(有效值),KCL和KVL的形式如下。
注意,如果只给端口电压的有效值,可能存在多解

如果是知道UR,UL,UC求U是唯一的,但是知道U,UR,UL求UC,会有黑色线的情况
解题的时候,选好参考方向和参考相量(时间起点),然后根据各个元件的相量关系画相量图。


比较关键的一点是,根据有电感的那条路的电流比电压滞后一个锐角,然后画出大概的图象。然后如何解读移动电阻的时候V最大非常关键。正确的解读应该是,UR3是一个固定的值,而UR1在那里移动,因此最小的时候就是\(\dot {U}_{R3}-\dot {U}_{R1}\)垂直于UR1的时候,而不是UR1垂直于UR3的时候,因为UR1才是动的那个,UR3是一个确定的值。后面确认了相似关系之后就都可以解出来了。

这里令R1=R2
极端位置,R=0,则U=UR2,就是指向右边,当R为无穷大,相当于-UR1
如果希望相位从-180度到0度,把L换成C即可
上面两道题都是并联型,就是电压是同一个,这种的话就适合把那个电压作为参考相量。还有另一种是串联型,就是电流是同一个,那么就适合把电流作为参考相量。

用Ib把别的全都表示出来


最大功率¶
对于U,Zd,Z串联,保持U,Zd不变,要使得Z上功率最大,需要Z=\(\overline {Z_d}\),理想最大功率即为\(\dfrac {U^2} {4R_d}\),其中Rd是Zd的实部。无法达到这个最大功率(最大值)的时候,那些时候就只能单独分析了,就是条件极值。
此时需要用偏导来推,因为P是关于Zd=R+jX的函数,有R和X两个变量,还有一个R


只能调R,那么就只看偏P偏R,且X=0,得到Rd方+Xd方=R方

电桥¶


电路分析法¶


由于控制量就是连支电流,所以不需要列多一个方程来表达控制量了
电路定理¶

注意这里那个系数是复数
戴维宁等效一样的,也是开路电压,短路电流

要求Z变化时电流有效值不变,其实就是接一个理想电流源。


功率¶
复数功率单位比较特殊,写成100+100j,单位是100W+100j VAR,写成100∠45°,单位是VA
务必注意复数功率乘的是电流相量的共轭复数
有功、无功、复数功率平衡,但是视在功率不平衡
视在功率可以被称为“容量”,因为它是理论上这个端口能用来做(有功)的最大功率,可以通过并联电容等方式,提高功率因数。
功率表测有功功率,在实际算功率表读数的时候,并不用看它实际测的是什么部分的有功功率,而是就根据它测得电压是哪个,电流是哪个,然后求出来这两个相量之后,就能得到它的读数,因为它的原理就是测电压的有效值,电流的有效值,以及这个电压相对于电流的角度的cos值来作为示数。之所以这么说,是因为有些时候功率表解的地方并没有明确的是什么东西的有功功率的对应关系,这个时候只能回归到它更加原本的算法去求。
电感和电容不参与有功,只有无功功率,有功功率只由R产生,通常就用这种方法把电阻先求出来了。


抓住P方+Q方=S方来做

比如对于L和C的并联,QL=100VAR,QC=-50VAR,则电网供电提供了50VAR。对于L来说,它要用100VAR,但是供电只提供了50VAR,剩下的50VAR就是C产生的50VAR的感性无功功率了


我这里要好好解释一下功率表究竟怎么看方向。功率表有四个东西伸出来,其中一个弯的,一个搭到另一条线上的那两个,是用来测电压的,另外两个跟原本的电路连在一起的,是用来测电流的。星标的意思是,就是从有星标的部分,到没有星标的部分为电压/电流的从正到负的方向。对于电流来说,星标在左边那就是从左到右,星标到右边就是从右到左。电流方向和上面那个往左弯还是往右弯没有任何关系,因为上面那个用来测电压的。而电压的话,也是从有星标的(通常来说就是弯的那个)到没有星标的这样的方向。

你得到了功率表实际测的U和A,结合功率表实际读数就能得到cosφ的值,这个φ其实就是阻抗角,剩下的要判断这个是容性的还是感性的。
在功率因数提高的过程中,不过补偿,也就是不改变仍然是感性负载的性质
并联电容可以提高功率因数




解1从电流补偿的角度来解

解2从产生的无功来分析
谐振¶
就是电路在某个频率的时候,虽然不是纯电阻电路,但是表现出来是阻性的,即电压电流同相,这种现象称为谐振
我要澄清一个误解,不要认为串联谐振和并联谐振的电压电流关系是不一样的,它们对外呈现的是同一个状态,只是内部等效的形式不一样。串联谐振就是RLC串联时形成的谐振,表现为Z虚部为0。并联谐振就是等效为RLC并联时形成的谐振,表现为Y虚部为0。所以当你说某个电路是串联谐振,要先求这个电路的阻抗,然后等效成RLC串联,然后再去令虚部为0,这样才能说它是串联谐振。有些时候既可以等效为串联谐振,又可以等效为并联谐振,此时可能出现多个谐振频率。
串联谐振¶
基础定义¶
假设RLC串联,为了让端口呈阻性,则L和C的阻抗要抵消,即j(wL-1/wC)=0,从而得到谐振角频率
串联谐振又称电压谐振,因为相当于L和C上的电压相量相互抵消了,最后只有电阻的电压相量。此时LC两端可以被视为短路。

谐振时的|Z|是最小的,因为R固定,j方面的分量是0的时候模最小。所以固定输入U不变,谐振时I最大,固定I不变,U最小。
定义特征阻抗ρ和品质因数Q。谐振时L和C不是抵消了嘛,它们的电抗(的模)是同一个值,这个值就是特征阻抗ρ。品质因数就是U_L或U_C(它们相同)和U_R(或者就是端口整体的U)的比值,也就是上面那个图的纵向比横向。
强电中避免谐振,弱电中利用谐振。
谐振只是端口表现的电压小,内部的电压可以很大,所以绝缘要做好,不能只看端口的电压
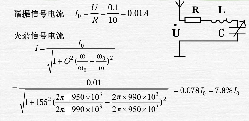
阻抗,电流的频率特性¶
对于串联RLC来说,频率越高,感性越强,这是由X_L随ω增大而增大,X_C随ω增大而减小决定的,相等的时候就是谐振的情况。

用I=U/|Z|经过麻烦的推导表示出通用谐振曲线,其中I0是谐振时的电流

选择性可以滤波,Q越大,和谐振角频率不同的地方,电流衰减很快,所以选择性就好。(只有符合谐振角频率的电流才容易通过,其他频率的电流变得很小)
通频带是选择电流衰减到1/根号2以上的区间,Q越大这个带越窄。之所以选择1/根号2,因此此时能量变为原来的一半
令I/I0=1/sqrt2解出来Δf=f0/Q,2pi f0=ω0
串联谐振电路本质上是带通滤波电路
实际上做题其实很简单,对于标准的套公式算就行


注意如果不是基础的RLC,不能用ω0=1/sqrt(LC),需要另外推,其实也是一样的,只要抓住定义就是等效阻抗Z虚部为零,求等效阻抗解方程就行。

这题其实那个受控源可以等效成kL,这样整个RLC的L就是(1+k)L,这样就可以套公式了。主要还是记忆各个展开式
并联谐振¶
基础定义¶
假设RLC并联,为了让端口呈现阻性那么它也是不能有虚部,\(\frac 1 {j\omega L}+\frac 1 {-j\frac 1 {\omega C}}=0\),解出来还是根号LC分之1,不过这次不是定义特性阻抗而是特性导纳了,就反一反变成\(\sqrt {\frac C L}\)了。
并联谐振可以称为电流谐振,因为L和C的电流抵消,使得端口电流和电压同相,最后只有电阻的电流相量。此时LC的并联可以被视为开路。

然后并联谐振的品质因数定义为IC/IR,也就是这里竖的比横的,得到的是等效导纳除以电阻的电导。
发生谐振时|Y|最小但|Z|最大,这一点和串联谐振区分开,因此这就导致外加U一定,谐振时I最小,I一定U最大。
导纳和电压的频率特性¶
对于并联RLC来说,频率越高,容性越强

类似地推导电压地那个复杂表达式

混连谐振¶
对于不是普通RLC并联的电路就要求阻抗导纳来分析了


注意电路一不可能发生串联谐振,你把Y1和Y2加起来就是整体的Y,通分之后,分母全是正的,不可能为0,除非你RLC全是0。


由这题可见,一个电路可以同时发生串联谐振和并联谐振,而且它们的谐振角频率可以不同。
电路二很有意思,它既可以在谐振时呈现出短路,也可能在谐振时呈现出断路。有的题目就利用了这一点


你看ω=2的时候,竟然UCD=UR,很罕见地出现了电压有效值之和等于总的电压的情况。其实这就说明,它们都是同相的,整个就是电阻,没有电抗了。此时,L1和C和L2那一坨就等效成了断路。而ω=4的时候,那一坨是短路的状态。这个部分和电路二并不完全相同,但是都是属于纯电抗的串并联,所以要意识到,对于这种东西是可以有两种谐振状态的,我第一次做这题完全无法想象为什么会出现ω=2的那种情况,其实就是没有掌握电路二的那种情况。
我对于混连谐振一直有种不确定的感觉,因为我总感觉,好像并联谐振和串联谐振对它来说没有什么区别啊,如果发生了串联谐振,也就是Z只有实部,那显然1/Z也是只有实部啊,类似的如果1/Z只有实部,那Z也是只有实部,那不就一样了吗。但是像是电路二或者这题6.11的情况,它实部是0啊,这种情况并不是一个有限值,不能平常看待。我觉得分析的方法就是,表示出阻抗Z=f(ω)/g(ω)之后,把分母实数化,分子可以是实数加虚数,当分子虚部为0的时候,求出来的就是串联谐振的谐振角频率。而并联谐振呢,就是把分子变成实数,然后分母是实数加虚数,虚部为0的时候求出来并联谐振角频率。所以总结下来其实分析混连谐振就是求阻抗,经过分母/分子的实数化,看分子/分母的虚部有没有可能等于0。


这题相对电路一又有变化,其实你也是要先分析阻抗,这里A1电阻不计提供了很大的便利,最后求出来Z=(R1//R2)+j(L/C)/(1/ωC-ωL)。分析虚部。显然你没法做到分子等于0,因为L和C都非零,所以也就不可能发生串联谐振。所以就只能发生并联谐振。并联谐振,电抗部分等效断路,所以A2读数0。其实这里连R1和R2都不用分析了,就是L和C的一个并联谐振,R1R2没有电流。所以就是LC内部在那里有个电流循环,所以A1读数就是L上的电流,也是C上的电流。由于U直接接在L和C两端,所以就直接除就得到I了

这题又有了一些变化,这题就不是谐振了,本质上是一个让阻抗最大的情况,或者说让导纳最小,让导纳没有虚部。这题如果用阻抗来算,比较复杂,分母有理化很麻烦,如果用导纳来算,就很简单了,然后你就让虚部为0就好。



如果要换成滤去低频,得到高频,就把C3改为L3
这样让并联的部分发生并联谐振,在ω2相当于开路。让混连部分在ω1时串联谐振相当于短路,这样就能按原本输出了
互感¶
物理量关系¶
互感就是,你在一个电感上通了交变电流,在另外那个电感上会产生额外的电压,换过来也一样,相当于一对受控源。
L1的自磁链是\(\Psi_{11}\),表示L1通电后带来的通过它自己的磁链。
L1的互磁链是\(\Psi_{21}\),表示L1通电后带来的通过L2的磁链。
L1的漏磁链是\(\Psi_{1S}\),表示L1通电后,没能穿过L2的那部分磁链。
存在关系\(\Psi_{11}=\Psi_{21}+\Psi_{1S}\)
如果L2也通电,那L2也会有上面的三个量,做题的时候不怎么关注漏磁链。
下标里后面的那个表示是主动的,比如\(\Psi_{21}\)就是1导致2里面产生的磁链。
$$ \begin{align} 自感系数L_1&=\frac {N_1 \Phi_{11}} {i_1}=\frac {\Psi_{11}} {i_1}\ 互感系数M_{21}&=\frac {N_2\Phi{21}} {i_1}=\frac {\Psi_{21}} {i_1}\ 漏感系数L_{1S}&=\frac {N_1 \Phi_{1S}} {i_1}\ \Psi_{11}&=\Psi_{21}+\Psi_{1S}, L_1=M_{21}+L_{1S}\ M_{21}&=M_{12}=M\ 耦合系数k&=\sqrt{\frac {\Phi_{21}}{\Phi_{11}}\frac {\Phi_{12}}{\Phi_{22}}}=\sqrt{\frac {\Psi_{21}}{\Psi_{11}}\frac {\Psi_{12}}{\Psi_{22}}}=\sqrt{\frac {M^2} {L_1L_2}}=\frac M {\sqrt{L_1L_2}}\ \dot{U}{21}&=j\omega M\dot I_1\ \dot{U}&=j\omega M\dot I_2\ 互感电抗X_M&=\omega M\
\end{align} $$
1对2和2对1的互感系数是一样的,所以都用M表示了。
当耦合系数k=1时称为全耦合,k=0称为无耦合。k的取值范围就在0到1,所以M<根号L1L2≤(L1+L2)/2,可以根据这个来舍弃某些解,这已经算是比较刁钻的考法了。
互感电压的符号¶
标记同名端(星)的作用是,如果如果你的电流是从L1带星的流向不带星的方向,那么在L2上产生的正的互感电压,就应该也是从带星的指向不带星的。如果你选的电压参考方向和这个正的方向相反,那么就要写成\(-j\omega M\dot I_1\)

看自感电压是正还是负,就根据自己是关联参考方向还是非关联参考方向,关联则为+,这是之前就知道的东西,不是这里互感教的新知识。看互感电压是+还是-,就根据选的电压方向是否和另外那个电感的电流流向是相同来判断,如果你选的电压方向是从有标记到无标记,那么如果另外那个的电流也是有标记到无标记,那么就是+,否则为-,这和你这一端是关联还是非关联没有任何关系,只和旁边那个的电流方向是否和你这个电压方向“关联”来决定。
这个同名端其实是可以有两种标法的,可以自己按照容易分析的来换,比如说这个1图,你把同名端都标到下面也没关系,只是这样就会变得麻烦一些,一般就是还是要让至少一个电流的参考方向和这个同名端在一个方向
我这里画的图特地是搞成不是L1和L2直接对着的样子,就是要强调,你写这个表达式,和它L的朝向没有任何关系,你只要分析这个同名端和选的电压的方向就可以了。
如果存在磁耦合,电感的阻抗不能当成jwL(因为相当于多了一个受控源),只能先分析电容和电阻,画相量图。

像是这题,就是把互感产生的电压也算上,U2是并联电路两端电压,那么X1那条路的电压就是UX1+UM+UR1,其中UM,如果把那条路掰过来,使得同名端在同一个位置,那么就发现两个的电压电流方向是不一样的,所以有负号,是-jwM的关系
这里解答写的是另一个方法,就是从阻抗的角度来分析。
注意I和U2同相,因为并联电路那里谐振了,所以它两端的U和输入的I就是同相的,这是一个很关键的条件。
去耦¶
去耦就是通过等效变换,使得不用分析互感,电感回归原来的纯电感的状态,从而简化分析。

最简单的去耦就是写成受控源,不过这和你直接分析互感电压也没什么不同。注意互感电压可以改变有功功率,这一对受控源会吸收或发出有功功率,所以此时功率表测出来的就不完全是I方R了
如果两个电感串联,同名端的方向和参考方向一样,那么相当于jω(L1+L2+2M),如果反着来就是jω(L1+L2-2M)
电感并联的表达式相对复杂,不建议记,自己推就行

注意,等效变换后,1,2,3中间那个公共点,和变换前的那个交点不是同一个点。外特性的相同只能是1,2,3这三个点往外看

注意这个-M不能等效为电感(因为电感是正的jwL),也不能等效为电容(电容的ω在分母,但是这里不是)
想要完成这样的解耦,需要满足同名端有公共点,或者异名端有公共点。
我要补充一个可能会产生的疑问,就是我如何确定,L1-M或L2-M究竟是感性还是容性呢。实际上这个如果没有已知值确实不好确定,现在唯一知道的就是M≤根号下L1L2,那L1-M≥\(\sqrt{L_1}(\sqrt{L_1}-\sqrt{L_2})\),那终究落到L1和L2的相对大小。如果L1>L2那一定能确定L1-M是感性的,但是L2-M仍然有容性的可能。所以如果M未知就真的难以确定。后面有一道题就非常困难。


这里问Z为多少的时候最大功率,那显然还是要搞戴维宁等效,那就求开路电压短路电流或等效阻抗


这里我有个疑问,如何确定发生并联谐振的部分究竟是哪里?为什么不包括M?其实这里包不包括M都没关系,因为它如果ab并联谐振了,相当于断了,那M也相当于断了。其实你把阻抗表达式写出来就发现有没有这个M,要发生并联谐振,表达式都是一样的。
有互感耦合时,节点电压法不太好用,因为耦合相当于有受控源,还要搞附加方程,因此互感耦合的时候尽量用回路电流法


题目有问题,没有I3,应当为I,然后没有R2,就是R

这道题非常难,因为是逆问题,而且M,L1,L2的关系不知道,所以你甚至没法直接把容性感性判断出来,所以向量图也存在困难。
这里由于整理时时间不太够了,没有把解答写上去,如果以后有时间的话再来补这个的解答
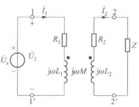
变压器¶
空心变压器¶

电路模型是这样的,互感线圈中有电源US的那个叫做一次侧或原边,没电源(接负载Z)的那个叫做二次侧或副边。
定义\(Z=R+jX,Z_{11}=R_1+j\omega L_1, Z_{22}=R_2+R+j(\omega L_2+X)\),注意这里不包含互感的考虑
经过推导,1和1'之间的等效阻抗为\(Z_{11}+\dfrac {(\omega M)^2}{Z_{22}}\),也就是等效再串了一个\(\dfrac {(\omega M)^2}{Z_{22}}\)
实际解题的时候,直接用等效阻抗把I1算出来,然后再用KVL把I2算出来,之后就什么都知道了。
US发出的有功一部分由R1消耗,还有一部分由一次侧的等效受控源吸收了,然后被一次侧受控源吸收的这一部分又传给二次侧的等效受控源,然后这个受控源发出有功,由二次侧的R2和Z的实部的电阻吸收了


理想变压器¶
理想变压器要求原副线圈电阻都是0,不存在漏磁,此时L1,L2,M趋于无穷大,已经没法用jωM来算了,就只能用直接的电压电流关系来求。
理想变压器变压变流变阻抗
n为N1/N2

如果同名端不同的话,那你就给电压电流的比值关系加个负号就行,或者如果电流不同的话,也是加负号。

法一用戴维宁等效,将RL以外的用开路电压和短路电流求出Rd, Ud,那么就求通过RL的最大电流,用基本不等式可以搞定
法二,相当于在一次侧接了n平方RL的电阻,只需要让n平方RL获得最大功率就行,那就是现成的了
再来一道相对复杂的题目


L1和L2顺接等效于L1+L2+2M
对于左边电路来说,就是一个n方右边那个并联得到的阻抗。
这里没有必要再去求变压器两端的电压了,只需要使得n方右边等效阻抗,等于R的共轭就可以了,两个方程两个未知数求出来。
三相交流电路¶
概念¶
一个电源只产生一个正弦电动势,这种交流电源叫单相交流电源。由单相交流电源供电的电路叫单相交流电路。能同时产生三个同频率、不同相位正弦电动势的交流电源叫三相交流电源。由三相交流电源供电的电路叫三相交流电路。
三相电源和三相负载有且只有这些样子

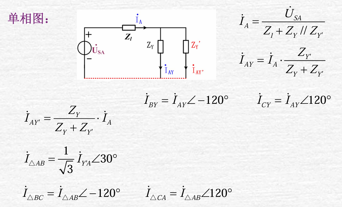
a和b的叫Y接,c和d的叫Δ接。c很少出现,就算出现也不怕,因为c相当于告诉你线电压,和a其实是一样的。我们是更加喜欢Y接的,因为它通常会在对称的时候提供一个自然等位点,也就是中间那个节点,所以凡是遇到了Δ接,先经过Y-Δ变换,把阻抗变成Z/3先,分析完之后,如果真的要你求原本负载的相电流相电压,你再变回去分析。
对于电源来说,相电压是指一端它自己的电压,比如对于Y接来说UA就是A它从正到负的这个电压。线电压是指两个之间的电压,比如UAB就是UA-UB。
对于负载来说,相电压就是它自己的电压,线电压是两个之间的电压比如AB之间的电压,相电流是流过一个Z它自己的电流,线电流是有三个端钮的负载网络,其中进入一个端钮的电流,比如就是从A进来的电流。对于Y接来说,相电流和线电流是一样的。
实际做题的时候,通常都是对称三相电路,也就是电源对称,负载对称,线路对称。除了电源的相位两两之间差120度之外,其他都不变。

虽然这里左边图给的是阻抗的,不过对于对称三相交流电源也是一样的,都满足这样的关系。画图的时候,总是把相电压UA作为参考向量,那么UB就是-120度,UC是正120度,这是正序(通常)的样子。而线电压UAB其实就是UA-UB,向量运算其实是3030120度的三角形,那么也就能得到是根号三的关系,然后差了30度,因此UAB也总是380∠30°。这里还要说一下数值的事情。约定220×根号3=380,实际当然有偏差,但是就都这么用了。通常线电压给的都是380,那也就能得到相电压是220V了。
对于Y-Y的接法有三相四线制和三相三线制。三相四线多的那条线就是把中间的那个点连起来了,这两个点在理想情况下就是自然等位点,连不连没关系,但是实际电路中总会有点偏差,把它们连起来可以减少“中点漂移”的程度。中(性)点漂移就是O和O'之间并不是完全自然等位的关系,这个时候把它们接起来,可以分担这个不平衡,让他们差的没那么多,维持各相电压接近额定值,不然可能会出现有的相电流太大导致烧坏,有的相电流不足运转不起来的情况。做题倒是没有遇到专门对于这个的分析。



对于Δ,真的要分析的时候,也是始终把AB的放在参考相量,这样画出来是最好看的。
计算¶
计算其实很简单,流程很标准。对于对称三相的,首先看有没有Δ接负载,如果有,等效变换成Y接。完成等效之后,只需要画A相的情况,把电源,负载给画出来,然后呢自然等位点的位置用虚线连接起来,然后不用管其他相的情况。接着就在这个很简单的回路里面,把线电流都算出来,就用普通的正弦交流分析方法,算完之后,A相的电压电流,-120度就是B相的,+120度就是C相的,这样就求完了。


这样可以求出变换后的情况,不过呢还要求变换前的情况。由于变换之后变成Y,相电流等于线电流,所以你现在可以先得到外面的线电流,然后再用Δ情况下,相电流和线电流的关系就可以得到相电流了
补充一种看似不对称,但是仍然可以用对称三相来分析的情况

这里ZL是不对称的部分,但是由于它接在理想电压源两端,所以可以等效掉,对于没有它的部分,仍然是一个对称三相的情况。那么你可以先求出来I'A, I'B, I'C,然后再单独求IL,然后再根据电流的关系求出原本的IB和IC,对于IA,由于它自己就是原本的样子所以不用再改了,所以终归还是简单的。
功率¶
功率的话其实对于对称的还是很简单的,其实就是三个负载,每个负载上的功率都是U相I相cosφ,φ是阻抗角。至于说用其他电流电压来表示的话,那就根据Y接和Δ接的特性来看就行了,对于Y接那相电流就是线电流,可以直接换,对于Δ接,其实也是等效变换成Y接,然后算变换后的Y接的功率就行,这也很简单。
有一种特别的装置就是封装起来的,只告诉你P和cosφ。这个P是里面对称三相的总的P,φ就是阻抗角。凡是遇到这种,就当作是一个Y接,由于相电压已知(就是电源提供的电压),用P的表达式直接求出线电流(也是相电流),然后用阻抗角直接得到相电流的相量,就可以求阻抗了。



注意此处功率表的计算,必须严格按照UIcos来算
对于三相三线制,可以采用两功率表法测量三相功率。上面那道题就是三相三线制的两功率表法的其中一种接法。
W1+W2=P总对于对称和不对称都是成立的,因为用的是纯瞬时值的推导
总有功功率比较好解释,而总无功功率就没法这么容易推了,需要结合相位差的关系来证明

注意,Q不是直接的P2-P1而是有一个根号三的系数。
这个在非对称的时候用不了,因为需要用到相位关系。
两功率表法的另外一种接法是这样的

总有功功率也是W1+W2,推导和前面一样,无功功率用相量推导出来是\(\sqrt 3 (W_1-W_2)\),和前面有符号的差异。如果不想区分的话直接用绝对值也可以。
注意当负载的阻抗角的绝对值超过60度时,一只功率表的读数可能会出现负值,没有关系,计算的时候仍然是求它们读数的代数和。
三相四线制时不能用两功率表读数法来测,因为不符合iA+iB+iC=0,还有多一条路。对称三相四线,可以用一只功率表测出单相功率,三倍就是总的功率了。不对称三相四线要用三只功率表分别测出各相功率求和。
不对称三相¶
不对称三相就只能用直流移植过来的电路分析法来求了。


只知道线电压求不出相电压,因为第三个是冗余方程。

一种处理方法是设其中一个为0

这题如果直接分析,由于O1O2连了,所以就不能当作对称的了。因为想要还用对称分析,就想要把O1O2开路,于是想到戴维宁等效求开路电压,然后可以推出其实O1还是和O一样的,然后呢用节点电压法求UO2,UO2也就相当于UO2O1也就是开路电压。然后求等效阻抗,就把电压源置零,最后的等效其实是比较简单的,就是并联电阻,和并联RLC的串联,之后就是在一个小电路里求要求的东西就行。
非正弦电路周期信号与频率特性分析¶
非正弦的周期信号,就用傅里叶级数展开成直流分量(常数)和若干正弦量的和,根据工程需要保留前几个正弦量,然后就可以当作正弦交流来挨个频率分析了,思路就是这样。
傅里叶展开¶
常数项是直流分量,n=1的称为基波分量,其他的比如n=2,称为2次谐波分量

实际上常数就是平均值,对于这种很规律的一眼看出来是0就行了
\(\dot {F}\)和实际的关系:
注意,这里确实就是2×2,因为F的模长是A的一半,这里和有效值没有任何关系,所以没有根号2
频谱分析¶
对于前面提到的那个方波,单边频谱和双边频谱分别是这样的





周期函数的频谱是离散的,最小间隔是ω1,非周期函数的频谱是连续的
后面其实还讲了不少性质,不过真的没见过在考题里出,因为复习时间紧就不写了
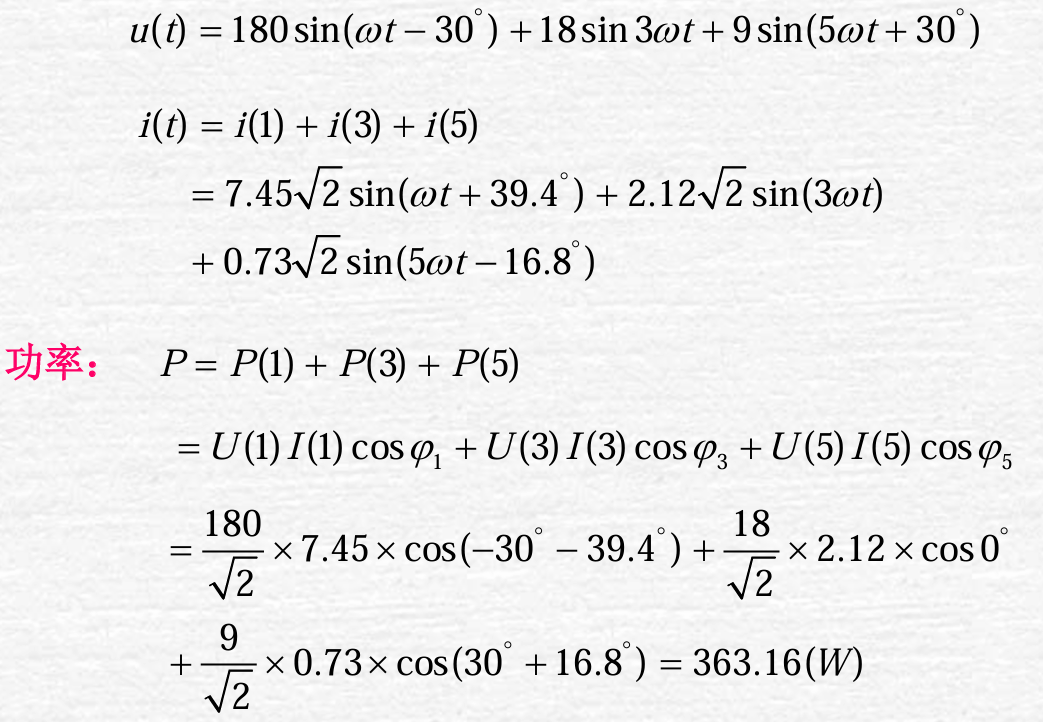
电路计算¶
前面的东西其实遇到的很少,真正多的是就是给你一个激励是包含若干个频率的分量,然后需要你分别求各个频率的情况然后叠加,对于瞬时值显然就是直接加了,注意有效值是方均根值,叠加有特殊的规则,而相量不能叠加,因为对于不同频率的来说,它们各自的相量无法比较,代表的频率都不一样。
热电系、电动系或电磁系仪表测有效值
磁电系仪表测直流分量
全波整流磁电系仪表测整流平均值
分析其中一个频率的时候,其余频率电压电流表的置零

务必注意分析谐波的时候,电感电容的阻抗会随着频率改变


此处功率可以相加。之前直流那里说用叠加原理的时候功率不能相加,是因为之前是对于同一频率来说的,此处是不同频率的功率,是可以相加的。对于同一频率(比如都是直流,或者都是同一个ω),用叠加原理的时候不能相加。


分频率来看,多个源,同时分析直流,同时分析基波等等,如果没有相关频率就置零







