过渡过程
之前介绍了直流和正弦交流,现在介绍线性动态电路的暂态分析,这部分是过渡过程,比如电容开始充电到稳态的过程
纯电阻电路是不存在过渡过程的,它直接就达到稳定。而对于电容、电感这些记忆、储能、动态元件,由于电源不能做无穷大的功使得能量跳变(因为功率是=dW/dt,电压跳变以为着功率无穷大),所以存在过渡过程。
电路开关动作、电路结构或参数变化、激励的骤然变化等,统称换路。
常将换路时刻定义为“0”时刻,0-为换路前瞬间,0+为换路后瞬间
激励:外界对电路的输入称为激励,即输入(电源)。
响应:电路在激励作用下所产生的电流或电压称为响应,即输出。
一个稳定电路系统在激励作用下经过相当长时间后所建立的状态称为强制状态,对应的响应称为强制响应。如果激励是直流或正弦交流(恒定或随时间作周期性变化的),此时的强制状态即稳定状态,对应的响应称为稳态响应。
奇异信号¶
单位斜坡函数
单位阶跃函数(开关函数)
如果不是t而是kt,不是1而是k,那么就没有“单位”,就叫斜坡函数和阶跃函数
单位斜坡函数求导是单位阶跃函数,单位阶跃函数变限积分是单位斜坡函数
单位阶跃函数的运算包括时移l(t-t0),倒置l(-t),乘法kl(t),用单位阶跃函数可以表示各种信号,常见的比如门函数,就是一个矩形波
单位冲激函数
且\(\int_{-\infty}^{+\infty}\delta (t)=1\)
定义为面积为1的矩形脉冲当Δ趋于0时的状态
对于δ(t)做傅里叶变换,得到的值是1,频谱上就是所有频率的波强度都是1,称为白色频谱,因为什么都有,强度相同。
单位阶跃函数求导就是单位冲激函数,单位冲激函数积分是单位阶跃函数
δ(t)也有时移运算,乘法运算,还有重要的就是筛分运算,一个函数乘了δ(t),积分之后相当于只保留了它在0处的值,对于平移后的也是类似的。
其实不积分得到的也是只保留t0处值的结果,f(t)δ(t-t0)=f(t-t0)δ(t-t0)
求解过渡过程本质上是解微分方程,在正弦交流里面由于引入了相量,避免了解微分方程
换路定则¶
\(u_C(0^+)=u_C(0^-)\)
适用电容换路定则的电路:无冲激激励且换路后电路中不存在纯电容回路或只有电容和理想电压源的回路。
不适用和适用电容换路定则的电路举例:

\(i_L(0^+)=i_L(0^-)\)
适用电感换路定则的电路:无冲激激励且换路后电路中不存在纯电感割集(广义节点)或电感和理想电流源组成的广义节点。

初值计算¶
我要提个醒,一定不要像我之前那样傻傻的把关于t的函数都求出来了来求初值,初值的求解往往是很简单的
让你求初值,先看是什么样的初值。如果要你求电容电压或电感电流,先判断有没有奇异电路,是不是冲激激励,如果是正常的电路,那就放心用换路定则,直接把换路前的稳态解求出来就行。
如果不是这俩,别慌,还不需要用到微分方程。此时先把那电容电压和电感电流求出来,然后把它们分别用电压源和电流源替换,然后在这个电路里把要你求的初值给算出来就行,注意是换路后的电路。以上介绍的都只是电压电流的初值,还不涉及导数。此处特地说明有两个导数的初值是不需要用微分方程算的,那就是电容电压的导数的初值,和电感电流的导数的初值,因为根据
这两个导数就是电容电流,电感电压。还是按照上面说的,在电容和电感用电源替换之后的电路里求,还是容易的。
如果不是上面提到的东西,而是其他的一阶导,二阶导的东西,那么就很遗憾,只能用微分方程来做。
如果出现了奇异电路,也有特定的方法来求电容电压和电感电流,此时它们是会跳变的。
常态初值¶


注意它们的单位,不是普通的V和A而是带个/s
此时不能用阻抗,只能用基础的瞬时值KVLKCL,和欧姆定律,和元件特性

这里指明了不用求微分方程全解的一个思路,就是还是要列KVL然后求导,不过这些导数都代0+时的值。由于你前面都已经算过了,除了待求量其他都知道,所以直接带进去就能求出来。注意这里不是前面经过替换的了,而是正儿八经的微分方程了。


跳变初值(奇异初值)¶
注意,奇异电路不一定导致初值跳变,只是说,不能保证0±的值一定相等了
就是没法用换路定则了,如果存在一个节点上面伸出去的所有支路里只有电感和电流源的支路,或者一个回路里面只有电容和电压源,这样就不能用换路定则
复习割集的概念:做一个封闭面,如果把这个面交到的所有支路都移走,剩下两个子图,这两个子图仍然连通,那么这个面交到的那些支路就叫一个割集。只有一个点的也叫连通的子图。
只有一个电容的时候不可能出现跳变初值

这里不可能满足uc前后一样,因为如果这样的话就不满足KVL,所以必须跳变到满足KVL。不过有时也可以不跳变,比如此时已经满足KVL,那就不跳变
最终都是要解二元一次方程,已经有了一个uc的方程,接下来再来一个,用KCL列

这个第二个方程本质上是电荷守恒,\(\sum q(0^+)=\sum q(0^-), \sum q=(C_2U_{C2}-C_1U_{C1})\)
注意这里是两个电容的电荷之和恒定,而不是某一个电容上的电荷恒定,如果某一个电容上的电荷恒定那它就满足换路定则了
为什么是相减啊?因为KCL列的时候一个出一个进,你选的列KCL的那个点在两个电容中间

这里是+,因为第二个方程本质上是KCL,i=iC1+iC2=C1duc1/dt+C2duc2/dt,i是有限值,从0-到0+积分之后就没有了。
除了电容和电压源的串联构成的奇异回路,还有电感和电感并联构成的奇异回路

初值不满足KCL,所以先用KCL写出第一个约束方程,第二个方程由KVL积分得到。
你可能会问,这里明明不是纯电感割集啊,电感所在支路上有R啊,但是问题是R它没法参与电流的控制,是电感在控制电流。只要电感的电流关系无法满足KCL,他就不得不跳变,和有没有电阻没关系。

新方程本质上是磁链守恒,\(\sum \Psi(0^+)=\sum \Psi(0^-), \sum \Psi=(L_2i_{L2}-L_1i_{L1})\)
相减是因为KVL的时候环路列KVL的时候一个是顺着I的一个是逆着I的

这里是+,因为本质上是KVL,两个的u是同向的,其他是有限值就没了

解释终值。
i1(∞)+i2(∞)=6
由KVL,L2di2/dt-L1di1/dt=0,由于d(L2i2-L1i1)dt=0,所以L2i2-L1i1=Const
所以L2i2-L1i1(0-)=L2i2-L1i1(∞)
两个方程解出终值
再解释一下初值。这题初值不跳变,为什么,因为有一个R,R上的电流可以是任意值,所以可以不跳变,并不是节点伸出来的所有支路里只有(有)电流源和(有)电感的支路
一阶电路分析¶
拿到一个过渡过程的题,首先要分析它是什么类型的电路,一阶电路用一阶电路的分析方法,二阶的用二阶的。
讨论一下电路的阶数。有几个储能元件就会带来几个微分方程,因此n个储能元件理论上最多可以带来n阶电路,实际上的阶数往往会比这个小,以下几种情况会减少阶数:
- 出现电容或电感的串并联,就可以等效成一个电容或电感,这样求τ的时候C或L就可以换成一个新的等效之后的C或L
- 换路后出现奇异电路,奇异电路的判断在初值计算那里有交代
总之,如果电路里只有一个储能元件,比如只有一个电容或一个电感,其他都是电阻和电压电流源,那么毫无疑问这就是一阶电路。
另外,整个电路选任何物理量列出来的方程,阶数都是一样的,特征方程都是一样的,所以你选哪个列都可以。通常来说,求某个物理量关于时间t的函数时,会先选电容的电压或电感的电流为最先分析的物理量,一方面初值和稳态解的求解比较简单,另一方面,求出电容电压或电感电流之后,可以直接用
求出它们的另一个物理量。
微分方程求解¶

由KVL可得
非齐通=齐通+非齐特
非齐特选最简单的常数\(U_S\)(仅在右边那个项为常数的时候成立,如果是和t相关的变量需要另外求特解),再求齐次方程的特解
对于这种常系数一阶线性齐次的方程,特解都可以写为\(Ae^{st}\),其中s是特征方程的解,此处特征方程为RCs+1=0,因此s=-1/RC,令RC=τ,称为时间常数,用来衡量过渡过程的快慢,τ越大过渡过程持续越久。
因此非齐次通解为\(u_C(t)=U_S+Ae^{-\frac 1 {RC}t}\),为了解出常数A,带入t=0+时的状态,就得到
于是真正的通解可以写为\(u_C(t)=U_S+(u_C(0+)-U_S)e^{-\frac 1 {RC}t}\)
这是解过渡过程最通用的方法,其他的物理量可以用类似的方式解出,只要写出了微分方程,这些就都是一样的流程。
分析这个通解,通解包括\(U_S\)这个稳态响应和一个指数衰减的暂态响应,分别对应微分方程的非齐次特解和齐次通解
事实上这个通解可以写为另外一个形式\(U_S(1-e^{-\frac 1 {RC}t})+u_C(0+)e^{-\frac 1 {RC}t}\)
这两个部分可以理解为,\(u_C(0+)=0\)时的通解,以及\(U_S=0\)时的通解之和。把\(u_C(0+)=0\)称为零状态,因为此时电容相当于没有充电;把\(U_S=0\)称为零输入,因此此时相当于没有激励。所以完整的通解,也可以被分成零状态响应和零输入响应的和。
零状态响应是指,uc(0-)=0, iL(0-)=0,而不是要你求的那个物理量初值为0
再特地研究一下零状态响应和零输入响应。
零状态响应\(U_S(1-e^{-\frac 1 {RC}t})\),和\(U_S\)成正比,这称为零状态线性。
零输入响应\(u_C(0+)e^{-\frac 1 {RC}t}\),和\(u_C(0+)\)成正比,这称为零输入线性。
对于RC串联来说,τ=RC,对于RL串联来说,τ=L/R
τ或者s=-1/τ,和激励没有关系,只和换路后的电路结构有关系。注意分析τ的时候关注的是换路后的电路而不是换路前的。
过渡过程里面有个说法是“经过很长时间”,实际上是经过3到5个τ的意思,因为经过3到5个τ之后,暂态分量已经到了可以忽略的程度,认为只剩下稳态分量。

三要素法¶
了解了上面的求解思路,现在根据通解表达式对于求解过程进行简化
最一般的方程无非就是\(a\frac {df(t)}{dt}+bf(t)=g(t)\)
通解无非就是\(f_P(t)+(f(0+)-f_P(0+))e^{st}\)这种形式。这里指数项系数里是\(f_P(0+)\),是因为求A的时候带入t=0+,\(f_P(t)\)和时间有关,所以就有了这么一项
所以最终要求的,就是\(f_P(t), f(0+), s\)这三个要素
当激励就是直流或正弦交流的时候,换路后直接当作稳态进行分析,按照前面的知识即可求得\(f_P(t)\),令t=0+就得到了\(f_P(0+)\)。如果激励不是直流或正弦交流,而是比如说指数衰减的类型,就需要老老实实写微分方程,然后求一个特解\(f_P(t)\),至于通解的部分,和之前是一样的\((f(0+)-f_P(0+))e^{st}\)。
f(0+)用初值计算处的方法来求出
s用等效变换的方法求,需要对C或L以外的电路用戴维宁等效(独立源置零),求出等效电阻,即可得到响应的τ,注意s=-1/τ。不过如果有受控源,还是建议老老实实写出微分方程,然后根据特征方程来直接得到s,这往往比你求戴维宁等效更快。
事实上,直接写出微分方程是最通用,最兜底的方法,如果上面的方法的求解有困难,都可以回到微分方程当中,直接解方程
三要素法不能用于那种两个换路之后就断开的电路各找一个点的电压的求解,也不能用于二阶电路的求解,
例题¶

电感元件不能轻易掉电,因为如果掉电iL发生跳变,UL就会无穷大。为了防止这种情况,需要在V两端并联一个续流二极管,续流二极管的电阻很小,这样并联之后电阻还是很小,电压表上的电压就很小了。


其实就是把i(t)求出来然后带入约束条件
来一个相量的例子

这里没有用有效值而是用最大值来算了,所以就没有加根号二


过电压过电流就是比稳态的时候更大的电压和电流
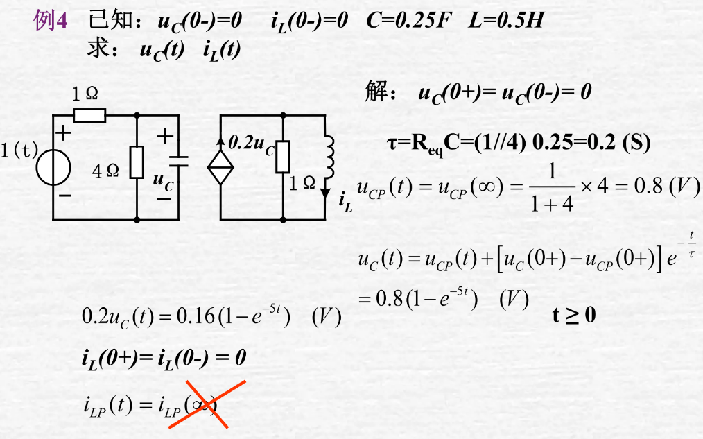
然后下面这个例题就是最普通的求uC(t)

先写出公式,然后用换路定则和先前的知识求各个参数就行。
来一个正弦交流的普通的例子


注意这里都要把相量换回瞬时值再带入三要素法的公式
含受控源的需要用戴维宁等效求等效电压等效电阻,进而求出稳态分量


这里的iL2∞就是稳态解,所以对于含受控源的也是可以这样搞的,将电感或电容之外的给等效了就好
下面来一题比较常见的,分了两个电路然后用受控源关联的情况,这种比较麻烦,需要都把全解解出来。

打叉是因为右边那个电路的激励是0.2uC,是一个指数衰减的东西,不是直流或正弦交流,像分析那些那样直接得到稳态解,而是需要列微分方程。

这里要用到解非齐次微分方程求特解的办法,如果非齐次项是这样一个常数加上Ae^st的,那么就可以设特解为A+Be^st,然后带入方程求出特解就可以了。
这里如果有疑问,受控源那个电路的τ是否还是L/R,会不会受到受控量的影响。解释一下,如果控制量和受控量在同一个电路,那么受控量确实会参与,需要用到等效变换。如果像这里受控量和控制量不在同一个电路,受控源就可以当作独立源。
注意这里有一个-5t和一个-2t的指数。-5t是激励带来的稳态分量,-2t才是决定过渡过程快慢的系数。-5t是非齐次特解带来的,-2t才是齐次解(只和电路结构有关,和激励无关)
再来一个零状态线性零输入线性的题目。

首先套通式\(i_{LP}(t)+(i_L(0+)-i_{LP}(0+))e^{st}\),显然\(i_{LP}(t)=4\),\(i_L(0+)=1\),s=-2.5,其中\(i_L(0+)\)和s与激励无关。
零状态是4(1-e^(-2.5t)),零输入是e^(-2.5t)
然后第一问就是把\(i_L(0+)\)变成2,第二问就是把\(i_{LP}(t)\)变成12,第三问就是把前面两问的变化都用到了。

这题的us不能用三要素法求,这两边断开之后虽然两边分别都是一阶电路,但是很明显这个s并不能简单地说是哪一侧的结果。
正确的解法是,先求初值,然后研究左边求uc,然后求i,然后研究右边求βi,然后求iL,然后才能求出us
阶跃响应和冲激响应¶
单位阶跃响应的定义是,单位阶跃函数激励下的==零状态响应==,其实也就是在直流激励下的零状态响应。
单位阶跃响应是线性时不变的,如果输入是l(t-t0),输出也只是把t换成t-t0,所以只要知道了单位阶跃响应,就可以通过卷积得到任意单位阶跃函数的组合的响应。
求矩形脉冲的响应,可以分成两段的叠加


用到零状态响应的齐次性(倍数),可加性(叠加),时不变性(平移)
其实也就是LTI系统了
单位冲激响应的定义是,单位冲激函数激励下产生的==零状态响应==。
单位冲激响应提供了无穷大电源,使得电容电压和电感电流可以跳变,从0-到0+完成充电,然后在0+之后,就是一个零输入响应。

积分里,因为uc是有限值,所以积分就没了

上面得到的t>0时的表达式求导,只能体现i大于0时的情况,无法体现跳变的原因。为了体现跳变的原因,必须把u(t)补上一个l(t),这样你求导的时候就也要考虑对l(t)的求导。
这里后面的化简用到了f(t)δ(t)=f(0)δ(t)
单位冲激响应可以用单位阶跃响应求导得到,实际求单位冲激响应的时候更多是这样得到的。注意单位阶跃响应要写完整,包含l(t),这样求导之后才能有δ(t)

这里由于δ(t)前面的在0处的值为0,所以就没了
用单位阶跃求单位冲激,需要把阶跃的表达式完整表达才行,体现出跳变的原因
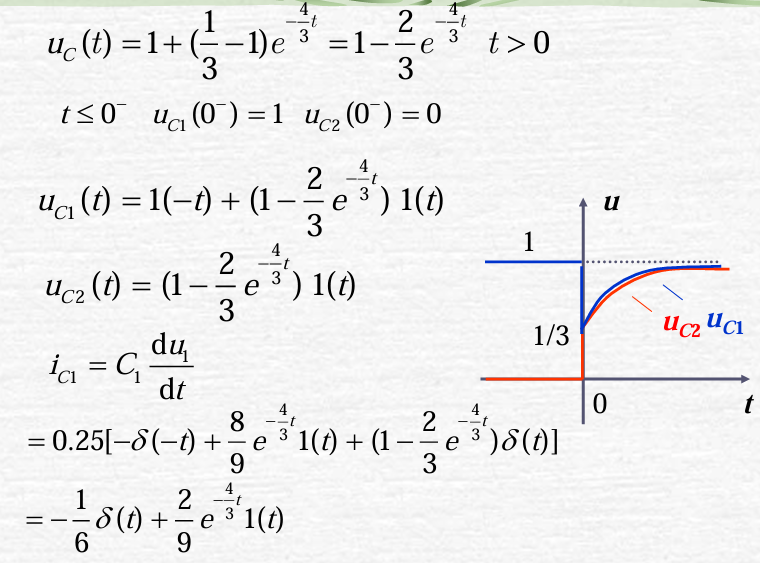
一阶奇异电路举例¶
用两个例子来说明奇异电路内部的过程



由此可见,对于C1和C2所在支路是存在电流的冲激响应的,但是它们合起来之后总的回路电流是没有冲激响应的



二阶电路分析¶
二阶电路一般是含两个独立储能元件的电路。如果有一个L一个C,一定是二阶电路。
二阶电路没有什么三要素法,自己列方程用初值条件解,其实也思路清晰。
微分方程求解¶

由KVL可得
又\(i=C\dfrac {du_C}{dt}\)
这是关于u_C的二阶常系数线性非齐次方程,有初值条件\(u_C(0+)=u_C(0-), \frac {du_C}{dt}(0+)=\frac 1 C i(0+)=\frac 1 Ci(0-)\)
非齐通=齐通+非齐特,这里非齐特为0
特征方程LCs^2+RCs+1=0
这里要分三种情况讨论
①如果\((\frac R {2L})^2-\frac 1 {LC}>0\),这种情况称为过阻尼
齐通为\(u_C(t)=A_1e^{s_1t}+A_2e^{s_2t}\),也是全解
用两个初值条件求出待定系数
解方程即可得到全解
如果\(u_C(0+)=U_0, i(0+)=0\),图象是这样的

里面u_L的零点,i的极小值,和u_C的拐点的t在同一个位置t1,u_L的极大值对应的t2恰为2t1
C一直在放电,没有周期。从0到t1,电容的能量转化为电感中的磁场能和电阻消耗的能量。从t1到无穷,电容的能量和电感释放的能量被电阻消耗。
②如果\((\frac R {2L})^2-\frac 1 {LC}<0\),这种叫做欠阻尼
这里定义b=R/2L,然后根号下1/LC是谐振角频率ω0,定义振荡角频率\(\omega_d=\sqrt{\omega_0^2-b^2}\)
全解
这样就还是剩下两个参数,这样就一步到位不用再用欧拉公式了,别忘了还有e^(-bt)
用初值条件确定参数
解出来A和θ就可以了
如果\(u_C(0+)=U_0, i(0+)=0\),图象是这样的

这是一个阻尼振荡,u_C到极值时,i为0。i到极值时uL为0。b越大衰减越快。如果L和C一定,R增大,那么ωd减小,周期增大。如果R增大到ωd=0,那么就是一个衰减了,没有周期振荡了。如果R变成0,那么b就是0,是一个无阻尼振荡。
③如果\((\frac R {2L})^2-\frac 1 {LC}=0\),这种叫做临界阻尼
全解\(u_C(t)=(At+B)e^{st}\)
用初值条件确定参数
例题¶
二阶电路没有三要素法,就是纯粹解微分方程,代初值条件解待定系数


步骤很统一,没有什么变化。电路期末考试的时候,为了计算的容易,激励只会给直流激励
列方程的时候务必要注意有没有列错,注意参考方向,以及支路之间的电流关系要判断清楚,很容易列错。

比如这个电路,一开始我误以为75Ω上也是i,但是这里其实75Ω被短路了

这个题,KVL我列的时候没有出问题,但是写元件特性的时候我还是机械地写了iL=Cduc/dt,但是这里电流电压是非关联的,应该是iL=-Cduc/dt